Dew Point Virtual Sensor
In Aranet Cloud, you can set up a Dew point sensor, which you can find under virtual sensors. When selecting it, you will be presented with this screen, where you can select the necessary sensors.:

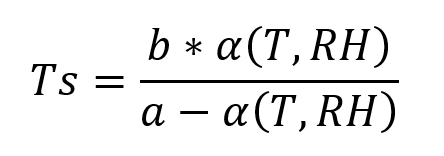
The sensor itself works on the following principles:

What kind of formula does this virtual sensor use:

Ts Dew point (Celsius degrees)
T Temperature (Celsius)
RH - Relative humidity of the air (in percent)
a = 17.625
b=243.04

Last updated